أسعار شقق الإسكان المتميز المطروحة في رشيد الجديدة
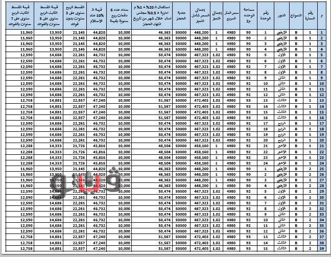
ننشر أسعار شقق "الإسكان المتميز" التي تطرحها وزارة الإسكان ممثلة في هيئة المجتمعات العمرانية بمدينة رشيد الجديدة وتضم 564 وحدة سكنية بمساحات تتراوح من 90 إلى 93 مترا.
وسجل سعر المتر 4980 جنيها، ليصل إجمالي سعر الوحدة السكنية 472 ألف جنيه بمساحة 93 مترا مربعا.
وقائمة أسعار الوحدات السكنية المطروحة كالتالي:




يستمر الحجز حتى 22 ديسمبر 2020، والتخصيص بنظام أسبقية الحجز "Online"، على أن يقوم المواطن بسداد مبلغ 50 ألف جنيه "مقدم حجز" مع وجود أنظمة سداد ميسرة.
وسجل سعر المتر 4980 جنيها، ليصل إجمالي سعر الوحدة السكنية 472 ألف جنيه بمساحة 93 مترا مربعا.
وقائمة أسعار الوحدات السكنية المطروحة كالتالي:




يستمر الحجز حتى 22 ديسمبر 2020، والتخصيص بنظام أسبقية الحجز "Online"، على أن يقوم المواطن بسداد مبلغ 50 ألف جنيه "مقدم حجز" مع وجود أنظمة سداد ميسرة.
