تبدأ 3 يناير.. مواعيد تسليم شقق العاصمة الإدارية لحاجزيها
أعلنت وزارة الإسكان ممثلة فى هيئة المجتمعات العمرانية البدء فى تسليم الوحدات السكنية بالحى السكني الثالث كابيتال ريزيدنس فى العاصمة الإدارية الجديدة اعتبارا من 1/1/2021 ، وذلك للحاجزين بالمشروع.
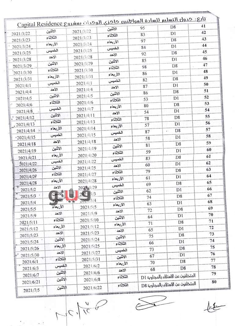
ونستعرض مواعيد التسليم كالتالي:


ومن جانبه أكد الدكتور وليد عباس ، معاون وزير الإسكان أنه من المقرر بدء تسليم وحدات العاصمة الإدارية الجديدة للحاجزين يناير المقبل، وكذلك هناك خطة طموحة لدى وزارة الاسكان فى مدينة العلمين الجديدة، حيث تم بدء تسليم وحدات الإسكان الاجتماعي المميز فى العلمين، وأكد أنه تم مضاعفة حجم المدن الجديدة لتصل لـ 60 مدينة جديدة.
وأشار إلى اعتماد قرارات وزارية لمشروعات عقارية على مساحة تخطت 47 ألف فدان، وهو ما يؤكد أن الحكومة نجحت فى مواجهة فيروس كورونا، وتم الانتهاء من نحو 85% من مشروعات المرحلة الأولى من مدن الجيل الرابع، وذلك فى 17 مدينة، بينما تم البدء فى تنفيذ المرافق فى الـ 14 مدن الأخرى.
ولفت معاون وزير الإسكان، إلى أن الوزارة تعمل في الوقت الحالي على إنشاء منصة الكترونية وذلك للتيسير على المستثمرين بحيث تكون كافة الإجراءات الخاصة باستصدار التراخيص والقرارات الوزارية من خلال هذه المنصات.
وأضاف عباس أن آلية التخصيص المباشر ساهمت بشكل كبير فى إتاحة الفرص لكافة الشركات العقارية بمختلف الفئات للحصول على قطع أراضي لإنشاء مشروعات عمرانية، لافتا إلي أن الوزارة تلقت نحو 917 طلب للحصول على أراضي، والعام الحالي تخطت عدد الطلبات لأكثر من 700 طلب للحصول على أراضي بنظام التخصيص المباشر.
وأوضح عباس، أن الوزارة لجأت لاتخاذ العديد من التيسيرات للمطورين للتيسير عليهم، منها تقليل نسبة مقدم الحجز للمشروعات الكبيرة التى تتخطي المليار جنيه، لافتا إلي أن التخصيص بالأمر المباشر، ستسنح للمستثمر الحصول على قطعة أرض خلال مدة أقصاها 3 شهور من تاريخ تقديم الطلب.
ونستعرض مواعيد التسليم كالتالي:


ومن جانبه أكد الدكتور وليد عباس ، معاون وزير الإسكان أنه من المقرر بدء تسليم وحدات العاصمة الإدارية الجديدة للحاجزين يناير المقبل، وكذلك هناك خطة طموحة لدى وزارة الاسكان فى مدينة العلمين الجديدة، حيث تم بدء تسليم وحدات الإسكان الاجتماعي المميز فى العلمين، وأكد أنه تم مضاعفة حجم المدن الجديدة لتصل لـ 60 مدينة جديدة.
وأشار إلى اعتماد قرارات وزارية لمشروعات عقارية على مساحة تخطت 47 ألف فدان، وهو ما يؤكد أن الحكومة نجحت فى مواجهة فيروس كورونا، وتم الانتهاء من نحو 85% من مشروعات المرحلة الأولى من مدن الجيل الرابع، وذلك فى 17 مدينة، بينما تم البدء فى تنفيذ المرافق فى الـ 14 مدن الأخرى.
ولفت معاون وزير الإسكان، إلى أن الوزارة تعمل في الوقت الحالي على إنشاء منصة الكترونية وذلك للتيسير على المستثمرين بحيث تكون كافة الإجراءات الخاصة باستصدار التراخيص والقرارات الوزارية من خلال هذه المنصات.
وأضاف عباس أن آلية التخصيص المباشر ساهمت بشكل كبير فى إتاحة الفرص لكافة الشركات العقارية بمختلف الفئات للحصول على قطع أراضي لإنشاء مشروعات عمرانية، لافتا إلي أن الوزارة تلقت نحو 917 طلب للحصول على أراضي، والعام الحالي تخطت عدد الطلبات لأكثر من 700 طلب للحصول على أراضي بنظام التخصيص المباشر.
وأوضح عباس، أن الوزارة لجأت لاتخاذ العديد من التيسيرات للمطورين للتيسير عليهم، منها تقليل نسبة مقدم الحجز للمشروعات الكبيرة التى تتخطي المليار جنيه، لافتا إلي أن التخصيص بالأمر المباشر، ستسنح للمستثمر الحصول على قطعة أرض خلال مدة أقصاها 3 شهور من تاريخ تقديم الطلب.
