كراسة شروط حجز أراضى الإسكان الأكثر تميزا بالمدن الجديدة
تطرح وزارة الإسكان ممثلة فى هيئة المجتمعات العمرانية الجديدة، 632 قطعة أرض سكنية بالإسكان "الأكثر تميزا" بعدد من المدن الجديدة.
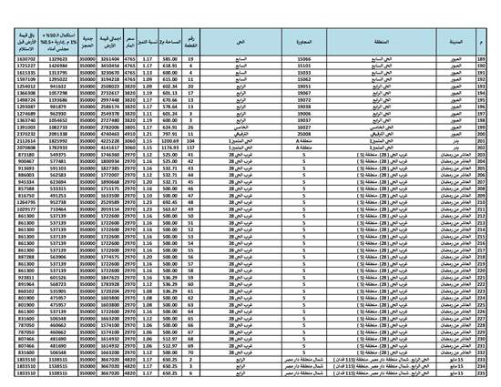
وننشر كراسة شروط حجز الاراضى، وتتراوح مساحات الأراضى من 294 مترا : 2300 متر، بـ10 مدن جديدة وهى :
(القاهرة الجديدة - دمياط الجديدة - العبور - بدر - أسوان الجديدة - العاشر من رمضان - طيبة الجديدة - برج العرب الجديدة - 15 مايو - سوهاج الجديدة).
ويبلغ مقدم الحجز لقطع الأراضي 350 ألف جنيه،والتخصيص بنظام أسبقية الحجز الإلكتروني (online) عبر موقع حجز بنك التعمير والاسكان.
كراسة الشروط التالي:
