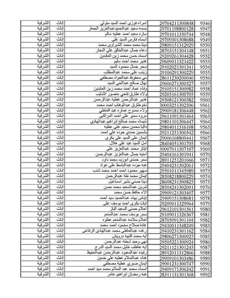
2788 ناجحا، كشوف أسماء الناجحين في مسابقة الـ30 ألف معلم بالشرقية
نتيجة مسابقة 30 ألف معلم (الدفعة الثانية)، يبحث عدد كبير من المعلمين الجدد، عبر محركات البحث المختلفة عن نتيجة المرحلة الثانية من مسابقة الـ30 ألف معلم بـ محافظة الشرقية بعد ظهور النتيجة.
الشرقية تعلن أسماء الناجحين في مسابقة الـ 30 ألف معلم
فيما حصلت "فيتو" علي كشوف أسماء المقبولين في مسابقة 30 ألف معلم من أبناء محافظة الشرقية اليوم الجمعة، والبالغ عددهم 2788 معلمًا ومعلمة (المساعدين) من المقبولين في مسابقة وزارة التربية والتعليم "30 ألف معلم (الدفعة الثانية) وكذلك أسماء المعلمين المساعدين الناجحين في اختبارات والتظلمات من المسابقة الأولى.
موعد التقديم بالمستندات
وأكد المهندس علي عبد الرؤوف أحمد وكيل أول وزارة التربية والتعليم بالشرقية أن المديرية سوف تحدد موعد لاحق للتقدم بالمستندات المطلوبة من خلال الموقع الرسمي العلاقات العامة والإعلام بمديرية التربية والتعليم بالشرقية.








ونقدم لكم من خلال موقع (فيتو)، تغطية ورصدًا مستمرًّا على مدار الـ 24 ساعة لـ أسعار الذهب، أسعار اللحوم ، أسعار الدولار ، أسعار اليورو ، أسعار العملات ، أخبار الرياضة ، أخبار مصر، أخبار اقتصاد ، أخبار المحافظات ، أخبار السياسة، أخبار الحوادث ، ويقوم فريقنا بمتابعة حصرية لجميع الدوريات العالمية مثل الدوري الإنجليزي ، الدوري الإيطالي ، الدوري المصري، دوري أبطال أوروبا ، دوري أبطال أفريقيا ، دوري أبطال آسيا ، والأحداث الهامة و السياسة الخارجية والداخلية بالإضافة للنقل الحصري لـ أخبار الفن والعديد من الأنشطة الثقافية والأدبية.
