بدء تسليم أراضي قرعة الإسكان المتميز بأكتوبر الجديدة
أعلنت وزارة الإسكان ممثلةً بهيئة المجتمعات العمرانية، بدء تسليم قطع أراضي القرعة للفائزين بمشروع الإسكان المتميز بمدينة أكتوبر الجديدة اليوم الأحد.
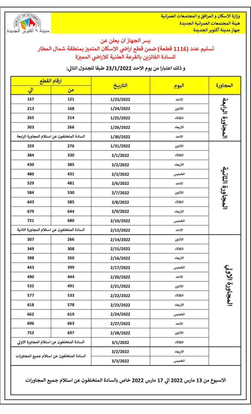
ونستعرض مواعيد وخطوات استلام الأرض:
- التوجه لبنك الاسكان والتعمير بالحي الثاني عشر بمدينة ٦ أكتوبر.
- إحضار مخالصة وكشف حساب من البنك.
- حضور صاحب القطعة أو ما ينوب عنه بتوكيل رسمي يبيح ذلك لإدارة الشئون العقارية بمقر الجهاز بالحي السادس.
- إحضار خطاب التخصيص ودفع الرسوم المقررة.
- التوجه لإدارة المساحة بنفس المقر وعمل محضر الإستلام.
- معاينة واستلام قطعة الأرض على الطبيعة.
- الالتزام بمواعيد التسليم المحددة لكل قطعة حفاظًا وتيسيرًا وتسهيلا على المنتفعين.
- ومواعيد التسليم كالتالي:

- وأوضح المهندس محمد عبد المقصود، رئيس جهاز تنمية مدينة أكتوبر الجديدة، أنه سيتم تسليم قطع الأراضي بالمجاورة الرابعة من 121: 167، يوم الأحد 23/1/2022، والقطع من 168: 213، يوم الإثنين 24/1/2022، والقطع من 214: 265، يوم الثلاثاء 25/1/2022، والقطع من 266: 303، يوم الأربعاء 26/1/2022، وتم تخصيص يوم الأحد 30/1/2022، لمن تخلف عن الاستلام في المواعيد السابقة.
وأضاف رئيس جهاز مدينة أكتوبر الجديدة، أنه سيتم تسليم قطع الأراضي بالمجاورة الثانية من 276: 329، يوم الإثنين 31/1/2022، والقطع من 330: 384، يوم الثلاثاء 1/2/2022، والقطع من 385: 430، يوم الأربعاء 2/2/2022، والقطع من 431: 480، يوم الخميس 3/2/2022، والقطع من 481: 529، يوم الأحد 6/2/2022، والقطع من 530: 584، يوم الإثنين 7/2/2022، والقطع من 585: 643، يوم الثلاثاء 8/2/2022، والقطع من 644: 679، يوم الأربعاء 9/2/2022، والقطع من 680: 721، يوم الخميس 10/2/2022، كما تم تخصيص يوم الأحد 13/2/2022، لمن تخلف عن الاستلام.
