بالأسماء.. تجنبًا للإحالة لغير المشتغلين.. المحامين تخطر المقيدين بالجدول العام لاستيفاء أوراقهم
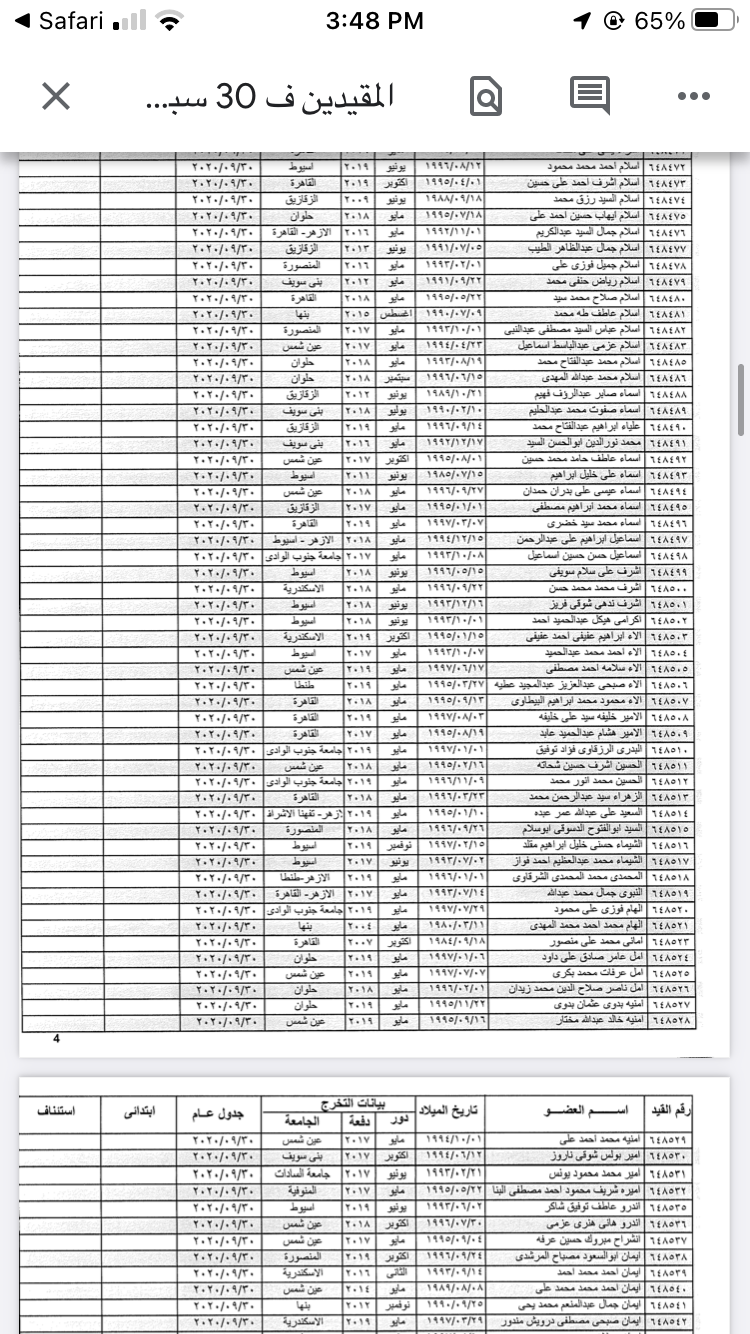
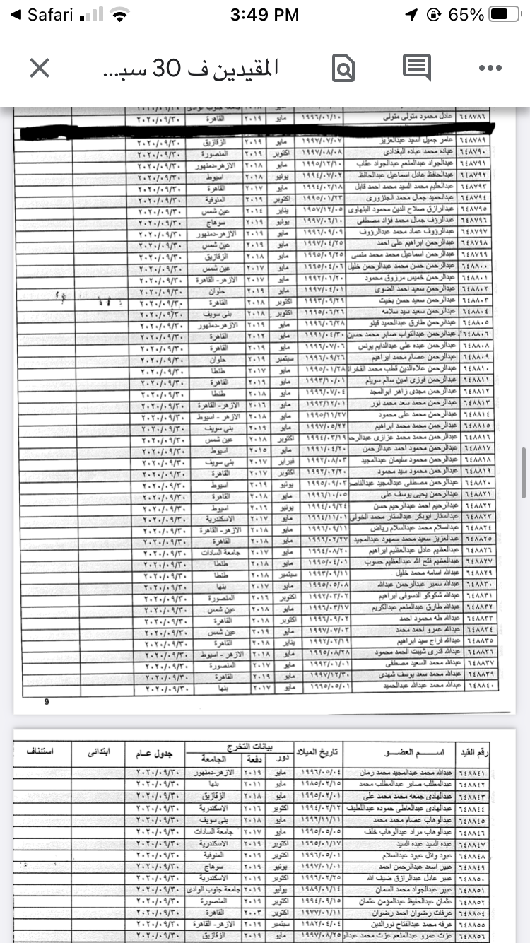
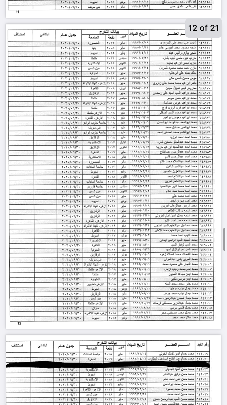
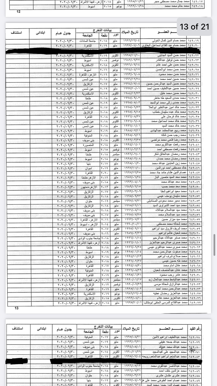
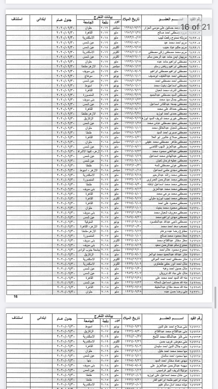
أخطرت النقابة العامة للمحامين برئاسة عبد الحليم علام، المقيدين بالجدول العام الواردة أسمائهم في الكشف المرفق، بضرورة استيفاء الأوراق اللازمة لنقل القيد إلى الجدول الابتدائي قبل 30 مارس المقبل، وذلك تجنبا للنقل التلقائي إلى جدول غير المشتغلين.
ويأتي ذلك طبقا لنص المادة 24 من قانون المحاماة، والتي تنص على أن مدة التمرين سنتان تبدأ من تاريخ حلف اليمين يتم إنقاصها إلى سنة واحدة للحاصلين على دبلومتين من دبلومات الدراسات العليا في القانون أو على أي مؤهل أعلى، فإذا لم يقيد المحامي أمام المحاكم الابتدائية، خلال ستة أشهر من انقضاء المدة المشار إليها ينقل تلقائيا إلى جدول غير المشتغلين دون حاجة إلى صدور قرار بذلك من لجنة القيد.
المستندات المطلوبة
1 – تقدم الأوراق من صاحب الشأن شخصيا
2- صورة البطاقة الضريبية مع الاطلاع على الأصل + صورة من بطاقة الرقم القومي (بمهنة محام) مع الاطلاع على الأصل.
3- إيصال سداد الرسوم من إدارة التحصيل.
4- شهادة تعديل قيد من السجلات وذلك بعد سداد الرسوم بالنقابة.
5- المعاملة العسكرية أو الإعفاء النهائي إذا لم يقدم من قبل أو تم سحبه ولم يرد.
6- شهادة إنهاء تدريب من المحامي الذي تم التدريب بمكتبه ثم اعتمادها من النقابة الفرعية التابع لها.
7- شهادة تحركات من إدارة الجوازات.
8- برنت تأمينات قطاع عام وخاص وقطاع حكومي.





















