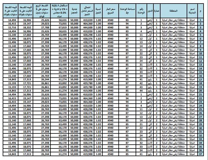
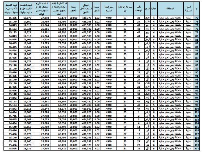
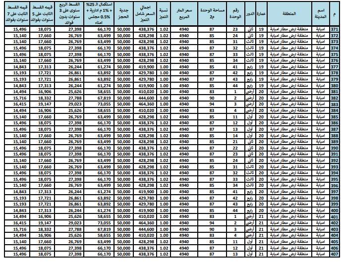
تفاصيل شقق مطار إمبابة.. 438 ألف جنيه سعر الشقة
تفاصيل شقق مطار امبابه | تطرح هيئة المجتمعات العمرانية بوزارة الإسكان 820 وحدة سكنية كاملة التشطيب بمنطقة أرض مطار إمبابة، بمساحات تتراوح بين 83 و100 متر ضمن الطرح الأول للمرحلة الأولى بمشروع شقق مطار إمبابه.
ونستعرض أسعار شقق مطار إمبابه:
- سجل سعر المتر 4940 جنيه، ليصل إجمالي سعر الوحدة السكنية مساحة 87 متر لـ438 ألف جنيه.




وأسلوب السداد كالتالي:
- تحويل مبلغ وقدره 50 ألف جنيه مصرى مقدم الحجز، بالإضافة إلى مبلغ 500 جنيه مصروفات تسجيل ـ دفعة واحدة وغير مجزأة ـ على أن يتحمل العميل العمولات ومصاريف التحويل من حسابه البنكي إلى رقم الحساب (رقم الاستمارة الذى تم الحصول عليه بالخطوة السابقة) ببنك التعمير والإسكان فرع الدقى.
ونستعرض أسعار شقق مطار إمبابه:
- سجل سعر المتر 4940 جنيه، ليصل إجمالي سعر الوحدة السكنية مساحة 87 متر لـ438 ألف جنيه.




وأسلوب السداد كالتالي:
- تحويل مبلغ وقدره 50 ألف جنيه مصرى مقدم الحجز، بالإضافة إلى مبلغ 500 جنيه مصروفات تسجيل ـ دفعة واحدة وغير مجزأة ـ على أن يتحمل العميل العمولات ومصاريف التحويل من حسابه البنكي إلى رقم الحساب (رقم الاستمارة الذى تم الحصول عليه بالخطوة السابقة) ببنك التعمير والإسكان فرع الدقى.
