أسعار ومساحات شقق "دار مصر" بمدينة برج العرب ضمن مبادرة "بيتك في مصر"(صور)
حددت وزارة الإسكان والمرافق والمجتمعات العمرانية أسعار شقق دار مصر والتي تطرحها بمدينة برج العرب الجديدة ضمن مبادرة "بيتك في مصر" للمواطنين العاملين بالخارج.
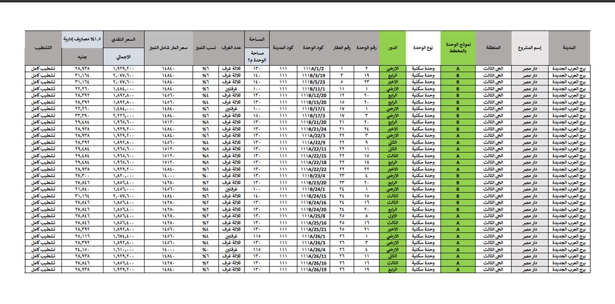
وتطرح الوزارة شقق دار مصر بمدينة برج العرب، ومشروع دار مصر بمدينة برج العرب يقدم وحدات سكنية مميزة بأحد أرقى أحياء المدينة، يمتاز المشروع بموقعه الإستراتيجي إذ يقع بالقرب من المحاور الرئيسية بالمدينة التي تربط المشروع بأنشطة تعليمية متميزة إضافة إلى الوصولية العالية والقرب من مطار برج العرب الدولي.
ننشر قائمة بأسعار ومساحات الشقق كالتالي:

وكشفت وزارة الإسكان عن شروط التقديم على شقق مبادرة بيتك فى مصر والتى تطرحها بالتعاون مع وزارة الخارجية والهجرة وشئون والمصريين بالخارج، ويتضمن طرح ١٣٨٠ وحدة سكنية.
شروط التقديم كالتالي:
-أن يكون الحاجز مصري الجنسية ومن المقيمين بالخارج
-ألا يقل سن المتقدم عن 21 عامًا فى تاريخ الحجز
-يحق للأسرة التقديم لحجز أكثر من وحدة
-يجوز للفرد التقدم لحجز أكثر من وحدة
-يقر المستخدم أنه مسئول عن صحة المستندات المقدمة عند الحجز
وأوضحت الوزارة أن المرحلة الثانية من مبادرة "بيتك في مصر" تتضمن طرح نحو ٣٠٠٠ وحدة سكنية وتجارية وإدارية مقسمة على ٣ طروحات، حيث يشمل الطرح الأول وحدات إسكان "متوسط وفاخر" في كل من: مشروع "ديارنا" بمدن (القاهرة الجديدة - العلمين الجديدة – المنيا الجديدة – أسيوط الجديدة – سوهاج الجديدة – دمياط الجديدة – 15 مايو – قنا الجديدة) و"سكن مصر" بمدن (العلمين الجديدة – المنصورة الجديدة – دمياط الجديدة – أكتوبر الجديدة)، و"دار بمصر" بمدينتي (بدر – برج العرب الجديدة)، و"جنة" بمدينتي (المنصورة الجديدة – دمياط الجديدة) و"فالي تاورز" في مدينة حدائق أكتوبر، و"فالي تاورز إيست" في مدينة العبور الجديدة.
وأشارت الوزارة إلى أن المبادرة تتيح تسهيلات في السداد والأسعار، حيث تصل مدة السداد إلى 10 سنوات ونسب خصم تصل إلى 7% من إجمالي ثمن الوحدة، وجدية حجز 5 آلاف دولار لكل وحدة، وذلك استجابةً لمطالب المصريين في الخارج، والتي تلقاها المهندس شريف الشربيني وزير الإسكان خلال مشاركته بالنسخة السادسة لمؤتمر المصريين بالخارج، الذي نظمته وزارة الخارجية، حيث تأتي هذه الخطوة في إطار التعاون وتضافر الجهود لتنفيذ تكليفات فخامة السيد الرئيس عبد الفتاح السيسي، رئيس الجمهورية، بتوفير أفضل مستويات الرعاية للمصريين بالخارج، وتقديم مزيد من التيسيرات والمزايا لهم، وتعزيز ارتباطهم بالوطن ودعم مشاركتهم في جهود التنمية الشاملة.
ونقدم لكم من خلال موقع (فيتو)، تغطية ورصدًا مستمرًّا على مدار الـ 24 ساعة لـ أسعار الذهب، أسعار اللحوم ، أسعار الدولار ، أسعار اليورو ، أسعار العملات ، أخبار الرياضة ، أخبار مصر، أخبار اقتصاد ، أخبار المحافظات ، أخبار السياسة، أخبار الحوداث ، ويقوم فريقنا بمتابعة حصرية لجميع الدوريات العالمية مثل الدوري الإنجليزي ، الدوري الإيطالي ، الدوري المصري، دوري أبطال أوروبا ، دوري أبطال أفريقيا ، دوري أبطال آسيا ، والأحداث الهامة و السياسة الخارجية والداخلية بالإضافة للنقل الحصري لـ أخبار الفن والعديد من الأنشطة الثقافية والأدبية.
تابع موقع فيتو عبر قناة (يوتيوب) اضغط هــــــــــــنا
تابع موقع فيتو عبر قناة (واتساب) اضغط هــــــــــــنا
تابع موقع فيتو عبر تطبيق (نبض) اضغط هــــــــــنا
تابع موقع فيتو عبر تطبيق (جوجل نيوز) اضغط هــــــــنا
