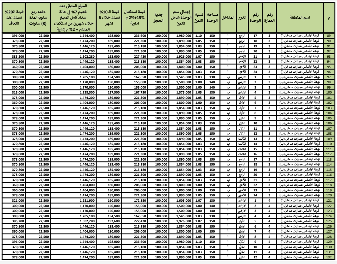
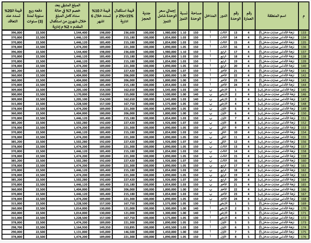
شقق الإسكان، أسعار ونظم سداد شقق نزهة الأندلس
شقق الإسكان، حددت وزارة الإسكان ممثلة فى حساب تمويل الإسكان الاقتصادي أقساط مشروع نزهة الاندلس بالطرح الجديد وأنظمة السداد.
وتطرح وزارة الإسكان عدد 672 وحدة سكنية بمشروع نزهة الاندلس بمساحات تتراوح من 130 متر² إلى 150 متر² بمدينة القاهرة الجديدة، ويتكون المشروع من 28 عماره سكنيه مكونة من بدروم ( جراج ) + دور ارضي وخمسة ادوار متكررة وبكل دور ٤ وحدات.
ونستعرض الأقساط ونظم السداد لشقق الإسكان بمشروع نزهة الاندلس بالقاهرة الجديدة:
- شقة بمساحة 150 متر² بالدور الأرضي قيمة الوحدة 1,980, مليون جنيه مصري.
- مبلغ جدية الحجز 100 الف جنيه مصري.
- قيمة الـ20% تسدد عند التعاقد 396,000 جنيه مصري.
- دفعة ربع سنوية تسدد لمدة 3 سنوات 22,500 جنيه مصري.
- 236,600 جنيه مصري استكمال قيمة 15٪ + ال2٪ الادارية.
- 198,000 جنيه مصري قيمة ال10% تسدد خلال 6 أشهر.
- 1,544,400 جنيه مصري المبلغ المتبقي بعد خصم ال7٪ ( في حالة سداد كامل المبلغ خلال شهرين من استكمال المقدم ) + 2٪ مصاريف إدارية.




خطوات حجز الشقق
وحول خطوات حجز الوحدات، أشار المهندس حاتم حسن، نائب رئيس هيئة المجتمعات العمرانية إلى أن الخطوة الأولى (التقديم) يتم الدخول على الموقع الإلكتروني من هنا والخاص ببنك التعمير والإسكان بدون كلمة مرور، لاستعراض كراسة الشروط أو طباعتها، لمعرفة جميع التفاصيل (المساحات – الأسعار – أرقام العمارات)، مع إمكانية استعراض خطوات الحجز (فيديو / مكتوبة)، وفى حالة عدم وجود حساب حالى يتم إنشاء حساب جديد، وذلك بالضغط على (تسجيل مستخدم جديد)، وملء البيانات المطلوبة، وبعد ذلك يتم الدخول على الموقع مرة أخرى، والضغط على مفتاح (أرغب في التقدم) ثم (استخراج رقم الاستمارة)، وستظهر شاشة لمراجعة البيانات الأساسية وتعديلها حسب الحاجة، وبعد اﻻنتهاء من مراجعة البيانات يقوم العميل بالضغط على (تأكيد) ليظهر رقم الاستمارة على الشاشة وهو الرقم الذى سيتم استخدامه كرقم حساب لتحويل جميع المبالغ المالية، كما يمكن طباعة اﻻستمارة بعد ذلك.
وأضاف: يقوم العميل بتحويل مبلغ جدية الحجز، بالإضافة إلى مصروفات تسجيل لا ترد ـ دفعة واحدة وغير مجزأة ـ على أن يتم التحويل من حساب العميل أو أحد الأقارب حتى الدرجة الثانية فقط، ويتحمل القائم بالتحويل العمولات ومصاريف التحويل من حسابه البنكي إلى رقم الحساب (رقم الاستمارة الذي تم الحصول عليه) ببنك التعمير والإسكان فرع الدقي، بإحدى الطرق التالية: (التحويل من حساب العميل فى جميع البنوك داخل مصر عن طريق "ACH"، أو سويفت كود (HDBKEGCAXXX)، أو التحويل من أى فرع من فروع بنك التعمير والإسكان في حالة وجود حساب للعميل بالبنك، أو نقدًا لدى أحد فروع بنك التعمير والإسكان، وسيتم إرسال رسالة (SMS)، تُفيد بوصول مبلغ جدية الحجز خلال 72 ساعة (3 أيام عمل) من تحويل مبلغ جدية الحجز، وفى حالة عدم وصول الرسالة خلال تلك الفترة يجب التواصل مع مركز الاتصالات بالبنك.
ونقدم لكم من خلال موقع (فيتو)، تغطية ورصدًا مستمرًّا على مدار الـ 24 ساعة لـ أسعار الذهب، أسعار اللحوم، أسعار الدولار، أسعار اليورو، أسعار العملات، أخبار الرياضة، أخبار مصر، أخبار الاقتصاد، أخبار المحافظات، أخبار السياسة، أخبار الحوادث، ويقوم فريقنا بمتابعة حصرية لجميع الدوريات العالمية مثل الدوري الإنجليزي، الدوري الإيطالي، الدوري المصري، القسم الثاني، دوري أبطال أوروبا، دوري أبطال أفريقيا، دوري أبطال آسيا، والأحداث الهامة والسياسة الخارجية والداخلية بالإضافة للنقل الحصري لـ أخبار الفن والعديد من الأنشطة الثقافية والأدبية
