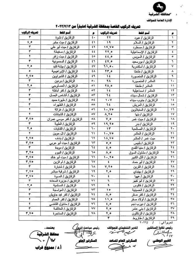
تسعيرة المواصلات الجديدة في الشرقية بعد زيادة أسعار البنزين والسولار
أعلنت وزارة التنمية المحلية تعريفة المواصلات الجديدة في محافظة الشرقية بعد إعلان زيادة أسعار البنزين والسولار اليوم الأربعاء.
ووجه اللواء محمود شعراوى وزير التنمية المحلية، المحافظين بتكثيف حملات الرقابة على محطات الوقود للتصدى لأى محاولات لاحتكار المواد البترولية بعد زيادة الأسعار أو استغلال المواطنين بأى صورة.
جاء ذلك في إطار متابعة وزارة التنمية المحلية لقرار لجنة التسعير التلقائي لأسعار المنتجات البترولية بوزارة البترول وتحريك الأسعار لبعض المنتجات إعتبارًا من اليوم الأربعاء.












